Programlamaya yeni adım atan herkesin ilk karşılaşacağı kavramlardan biri algoritmadır. Peki, algoritma nedir ve neden bu kadar önemlidir?
Algoritmanın Tanımı
Basit bir ifadeyle, algoritma, belirli bir problemi çözmek veya bir görevi tamamlamak için izlenen adım adım talimatlar bütünüdür. Bir algoritma, bir başlangıç noktası ve bir bitiş noktası olan, sonlu sayıda adım içeren bir süreçtir.
Günlük Hayattan Algoritma Örnekleri
Algoritmalar sadece bilgisayar bilimlerinde değil, günlük hayatımızın her alanında karşımıza çıkar. İşte bazı örnekler:
Örnek 1: Yemek Tarifi
- Malzemeleri hazırlayın.
- Fırını önceden 180 dereceye ısıtın.
- Un ve şekeri bir kapta karıştırın.
- Yumurtaları ekleyin ve çırpın.
- Karışımı fırın tepsisine dökün.
- Fırında 30 dakika pişirin.
- Soğuduktan sonra servis edin.
Bu adımlar, bir yemeğin nasıl yapılacağını anlatan bir algoritmadır.
Örnek 2: Market Alışverişi
- Alışveriş listesini oluşturun.
- Markete gidin.
- Listedeki ürünleri bulun ve sepete koyun.
- Kasaya gidin ve ödemeyi yapın.
- Eve dönün ve aldıklarınızı yerleştirin.
Bu süreç de bir algoritma olarak düşünülebilir.
Algoritmalar ve Programlama
Bilgisayar programları, aslında bilgisayara belirli görevleri nasıl yapacağını söyleyen algoritmaların kodlanmış halleridir. Programlama dilleri, bu algoritmaları bilgisayarların anlayabileceği bir biçimde yazmamızı sağlar.
Neden Algoritmalar Önemlidir?
- Problemi Anlamak: Algoritma oluşturmak, problemi daha iyi anlamamıza yardımcı olur.
- Etkinlik: İyi tasarlanmış bir algoritma, görevi daha hızlı ve verimli bir şekilde gerçekleştirir.
- Bakım ve Geliştirme: Net ve anlaşılır algoritmalar, kodun daha kolay bakımını ve geliştirilmesini sağlar.
Algoritma Oluşturmanın Temel Adımları
- Problemi Tanımla: Ne çözmek istediğini açıkça belirle.
- Çözümün Adımlarını Belirle: Görevi tamamlamak için gereken adımları sırala.
- Adımları Optimize Et: Gereksiz adımları çıkar ve süreci basitleştir.
- Test Et: Algoritmanın farklı senaryolarda doğru çalışıp çalışmadığını kontrol et.
Pseudocode (Sözde Kod) ile Algoritmalar
Pseudocode, algoritmaları programlama dilinden bağımsız olarak ifade etmenin bir yoludur. İnsanlar tarafından kolayca okunabilir ve anlaşılabilir.
Örnek: En Büyük Sayıyı Bulma
Başla
Sayı1'i gir
Sayı2'yi gir
Eğer Sayı1 > Sayı2 ise
En büyük sayı = Sayı1
Aksi halde
En büyük sayı = Sayı2
En büyük sayıyı yazdır
Bitir
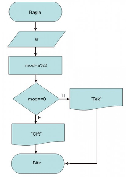
Akış Diyagramları
Algoritmaları görselleştirmenin bir diğer yolu da akış diyagramlarıdır. Bu diyagramlar, sürecin nasıl ilerlediğini şekiller ve oklar kullanarak gösterir.

Not: Aşağıdaki görsel, bir sayının tek veya çift olduğunu belirlemek için kullanılan algoritmayı göstermektedir.

Sonuç
Algoritmalar, programlamanın ve bilgisayar bilimlerinin temel taşlarından biridir. Bir problemi çözmek veya bir görevi yerine getirmek istediğimizde, önce algoritmasını oluştururuz. İyi bir algoritma, yazacağımız kodun etkinliğini ve sürdürülebilirliğini doğrudan etkiler.
Unutmayın: Algoritma yazma becerisi, pratik yaparak ve farklı problemleri çözerek gelişir. Her yeni problem, sizi daha iyi bir problem çözücü yapacaktır.